Algebraic Proofs Gcse Pdf
Students can complete this set of questions interactively on the DFM Homework Platform. The nth even number is a.
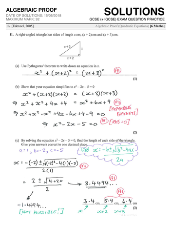
![]()
  Algebraic Proofs Worksheet With Answers Promotiontablecovers  
Diagrams are NOT accurately drawn unless otherwise indicated.

Algebraic proofs gcse pdf. You must show all your working out. Algebraic Proof worksheets for year 11 working at grades 5 and grades 8 for 9-1 GCSE Maths as well as international maths curriculum. Algebraic Proofs GCSE Higher Tier AAGrades KS4 with AnswersSolutions 1.
Answer the questions in the spaces provided there may be more space than you need. This section contains questions on algebraic proof with the answers. Tracing paper may be used.
Model answers video solution for Algebraic Proof. Answer all questions. I explain how to write expressions for commonly asked terms such as consecutive e.
Mark Kudlowski Introduction to Algebraic Proof. Menu Skip to content. Prove that is a multiple of 8 for all positive integer.
Algebraic Proofs - Go Teach Maths. GCSE 1 9 Proof Name. Edexcel GCSE Mathematics Linear 1MA0 PROOF Materials required for examination Items included with question papers Ruler graduated in centimetres and Nil millimetres protractor compasses pen HB pencil eraser.
Ready-to-use mathematics resources for Key Stage 3 Key Stage 4 and GCSE maths classes. This video explains how to attempt typical GCSE Algebraic Proof questions. Algebraic proof CM 1 Write down algebraic expressions for a an even number b an odd number c a multiple of four d a positive number which leaves a remainder of 1 upon division by 5 e the sum of two consecutive even numbers f the sum of two even numbers g the product of two odd numbers e the cube of a multiple of 6.
The idea of a proof is to make a universal statement for example you dont just want to say that the angles in some triangles add up to 180degree you want to say that the angles in all triangles add up to 180degreeThis is a proof you actually do have to know and you can see it here interior and exterior angles revision. Instructions Use black ink or ball-point pen. Algebraic proof worksheets 1 contains questions with expression for given statements taking n.
Prove algebraically that 2n 12 2n 1 is an even number for all positive integer values of n. I regularly upload resources that I have created during 30 years as a teacher. A mathematical proof is a sequence of statements that follow on logically from each other that shows that something is always true.
Is a positive integer. The following methods are the ones normally encountered at GCSE. Mathematics Revision Guides Introduction to Algebraic Proof Page 2 of 6 Author.
Wwwjustmathscouk Algebraic Proof H - Version 2 January 2016 Algebraic Proof H A collection of 9-1 Maths GCSE Sample and Specimen questions from AQA OCR Pearson-Edexcel and WJEC Eduqas. Handcrafted Resources for Maths Teachers Log in. GCSE question compilation which aims to cover all types of questions that might be seen on the topic of algebraic proofs involving integers.
This section is a brief introduction to on how to prove mathematical conjectures using algebra. Past paper exam questions organised by topic and difficulty for Edexcel IGCSE Maths. Most of these are maths but there are some ICTComputing and Tutor Time activities.
_____ Instructions Use black ink or ball-point pen. Algebraic Proof Practice Questions Corbettmaths. Higher OnlyThis video is part of the Algebra module in GCSE maths see my other.
Proof by algebraic reasoning. GCSE 9-1 Exam Question Practice Algebraic Proof Subject. The next even number can be written as Explain why b.
Algebra 1 Substituting in expressions 24 Brackets 26 Factorising simple 28 Factorising quadratics 28 Difference of 2 squares 29 Solving quadratic equations by factorising 30 Solving problems 30 Unit 5 Number 3 Factors multiples prime numbers 31 Standard form 33 Upper and lower bounds of numbers 35 Direct proportion 37 Inverse proportion 39. There are 6 classic proof questions types you may. A video revising the techniques and strategies for using Algebraic Proof.
Show algebraically that the sum of any 3 consecutive even numbers is always a divisible by 6 3 Marks 2. Prove that is a multiple of 6 for all positive integer values of n. I regularly upload resources that I have created during 30 years as a teacher.
Write down an expression in terms of n for the next even number after.

  Algebraic Proof Worksheets New Engaging Cazoomy  

  Total 1 Average 5 5 Indirect Proof Proof By Contradiction When Trying To Prove A Statement Is True It May Be Benefi Contradiction Basic Algebra Teaching  

  Coordinate Geometry Worksheet Maths Cheat Sheet And Formula Charts Mathematics Worksheets Math Tutorials Geometry Worksheets  

  Algebraic Proof Practice Questions Corbettmaths  

  How To Do Vectors A A Gcse Maths Revision Higher Level Worked Exam Ques In 2021 Gcse Maths Revision Gcse Math Math  

  5 Ways To Teach Geometry Proofs Lindsay Bowden Geometry Proofs Teaching Geometry Geometry High School  
  Gcse 9 1 Exam Question Practice Algebraic Proof Teaching Resources  

  Algebraic Proof Textbook Exercise Corbettmaths  
![]()
  Algebraic Proofs Worksheet With Answers Worksheet List  

  Similar Shapes And Congruence Geometry Worksheets Math Worksheet Math Worksheets  

  Algebraic Proofs Practice Worksheets Classwork And Homework Assignments Algebraic Proof Geometry Proofs Practices Worksheets  
  Algebraic Proofs Worksheet With Answers Promotiontablecovers  

  Geometry Algebraic Proofs Worksheet Worksheets Are A Very Important Portion Of Studying English Little In 2021 Algebraic Proof Geometry Proofs Geometry High School  

  Algebraic Proofs Go Teach Maths Handcrafted Resources For Maths Teachers  

  Algebraic Proofs Task Cards Algebraic Proof Task Cards Geometry Proofs  

  Algebraic Proof Worksheets New Engaging Cazoomy  

  Cpctc Proofs Geometry Proofs Scientific Notation Word Problems Simplifying Rational Expressions  

  Algebraic Proof Worksheets New Engaging Cazoomy  
